Официальное опубликование правовых актов
ОФИЦИАЛЬНОЕ ОПУБЛИКОВАНИЕ
Постановление Агентства по тарифам Приморского края от 05.12.2022 № 69/2
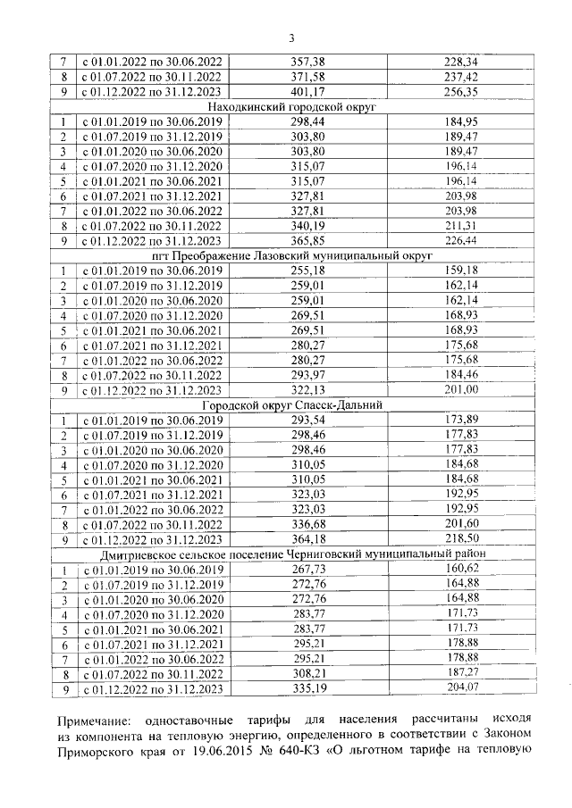
"О внесении изменений в постановление департамента по тарифам Приморского края от 20 декабря 2018 года № 70/7 "Об утверждении производственных программ и об установлении долгосрочных параметров регулирования и тарифов на горячую воду (закрытая система) для потребителей краевого государственного унитарного предприятия "Примтеплоэнерго", находящихся на территории Приморского края"
Номер опубликования: 2501202212090007
Дата опубликования: 09.12.2022
Страница №66 из 67:
Увеличить