Официальное опубликование правовых актов
ОФИЦИАЛЬНОЕ ОПУБЛИКОВАНИЕ
Постановление Агентства по тарифам Приморского края от 25.11.2022 № 65/6
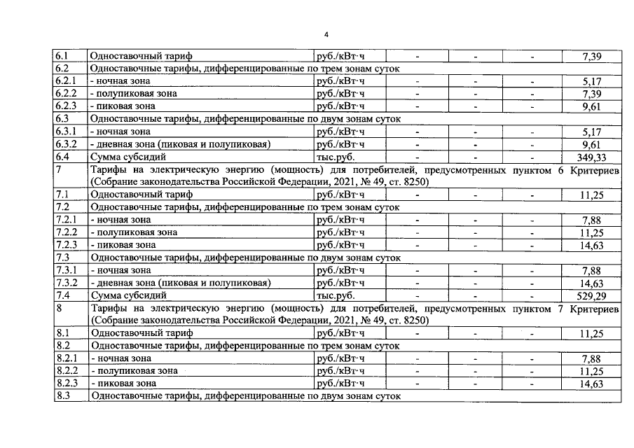
"Об установлении цен (тарифов) на электрическую энергию (мощность), поставляемую ООО "МобиСет" (гарантирующий поставщик) покупателям с. Таежное, с. Молодежное Таежненского сельского поселения, с. Мельничное Мельничного сельского поселения, с. Дерсу, с. Дальний Кут Дальнекутского сельского поселения Красноармейского муниципального района Приморского края на розничных рынках, расположенных на территориях, технологически не связанных с Единой энергетической системой России и технологически изолированными территориальными электроэнергетическими системами, за исключением населения и (или) приравненных к нему категорий потребителей"
Номер опубликования: 2501202211300016
Дата опубликования: 30.11.2022
Страница №20 из 112:
Увеличить