Официальное опубликование правовых актов
ОФИЦИАЛЬНОЕ ОПУБЛИКОВАНИЕ
Постановление Агентства по тарифам Приморского края от 22.11.2022 № 62/19
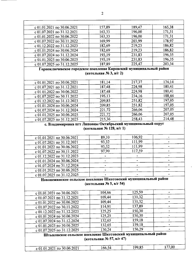
"О внесении изменений в постановление агентства по тарифам Приморского края от 17 декабря 2020 года № 65/14 "Об утверждении производственных программ и об установлении долгосрочных параметров регулирования и тарифов на горячую воду (закрытая система) для потребителей федерального государственного бюджетного учреждения "Центральное жилищно-коммунальное управление" Министерства обороны Российской Федерации, находящихся на территории Приморского края"
Номер опубликования: 2501202211250015
Дата опубликования: 25.11.2022
Страница №52 из 54:
Увеличить