Официальное опубликование правовых актов
ОФИЦИАЛЬНОЕ ОПУБЛИКОВАНИЕ
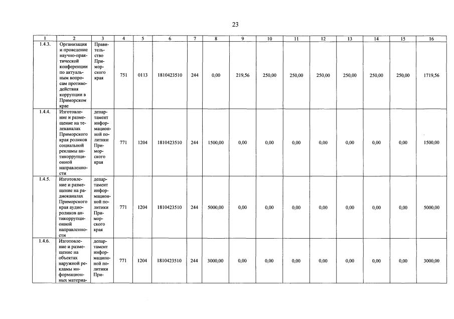
Постановление Правительства Приморского края от 15.11.2022 № 778-пп
"О внесении изменений в постановление Администрации Приморского края от 25 декабря 2019 года № 904-па "Об утверждении государственной программы Приморского края "Безопасный край" на 2020-2027 годы"
Номер опубликования: 2501202211160004
Дата опубликования: 16.11.2022
Страница №27 из 90:
Увеличить