Официальное опубликование правовых актов
ОФИЦИАЛЬНОЕ ОПУБЛИКОВАНИЕ
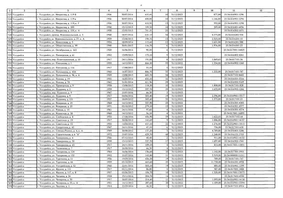
Постановление Правительства Приморского края от 10.11.2022 № 764-пп
"О внесении изменений в постановление Администрации Приморского края от 9 апреля 2019 года № 217-па "Об утверждении региональной адресной программы "Переселение граждан из аварийного жилищного фонда в Приморском крае" на 2019-2023 годы"
Номер опубликования: 2501202211140009
Дата опубликования: 14.11.2022
Страница №15 из 25:
Увеличить