Официальное опубликование правовых актов
ОФИЦИАЛЬНОЕ ОПУБЛИКОВАНИЕ
Постановление Правительства Приморского края от 25.10.2022 № 724-пп
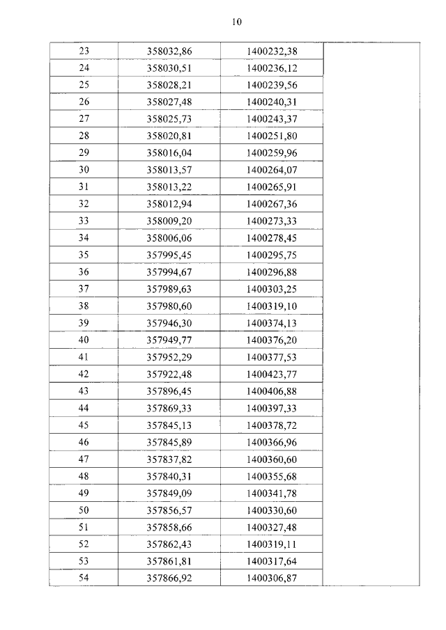
"Об установлении зон охраны объекта культурного наследия (памятника истории и культуры) народов Российской Федерации регионального значения "Ансамбль застройки казарменного городка Владивостокской крепости", 1906 – 1909 годы, утверждении требований к градостроительным регламентам в границах территорий данных зон"
Номер опубликования: 2501202210260014
Дата опубликования: 26.10.2022
Страница №12 из 38:
Увеличить