Официальное опубликование правовых актов
ОФИЦИАЛЬНОЕ ОПУБЛИКОВАНИЕ
Постановление Правительства Приморского края от 19.08.2022 № 566-пп
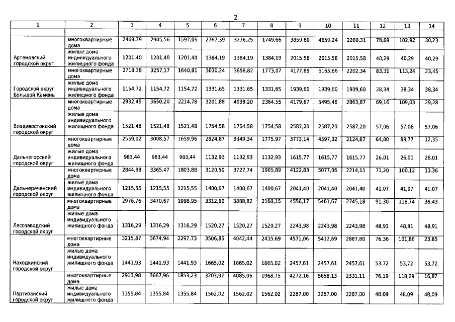
"О внесении изменений в постановление Правительства Приморского края от 1 апреля 2022 года № 193-пп "О региональных стандартах стоимости жилищно-коммунальных услуг на 2022 год"
Номер опубликования: 2501202208220018
Дата опубликования: 22.08.2022
Страница №12 из 42:
Увеличить