Официальное опубликование правовых актов
ОФИЦИАЛЬНОЕ ОПУБЛИКОВАНИЕ
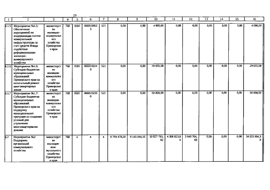
Постановление Правительства Приморского края от 15.08.2022 № 554-пп
"О внесении изменений в постановление Администрации Приморского края от 30 декабря 2019 года № 945-па "Об утверждении государственной программы Приморского края "Обеспечение доступным жильем и качественными услугами жилищно- коммунального хозяйства населения Приморского края" на 2020 - 2027 годы" и приостановлении действия его отдельных положений"
Номер опубликования: 2501202208170003
Дата опубликования: 17.08.2022
Страница №92 из 263:
Увеличить