Официальное опубликование правовых актов
ОФИЦИАЛЬНОЕ ОПУБЛИКОВАНИЕ
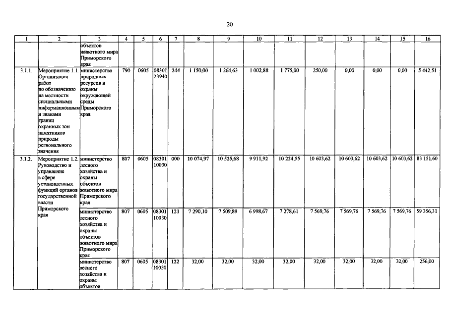
Постановление Правительства Приморского края от 21.06.2022 № 426-пп
"О внесении изменений в постановление Администрации Приморского края от 27 декабря 2019 года № 940-па "Об утверждении государственной программы Приморского края "Охрана окружающей среды Приморского края" на 2020 - 2027 годы" и приостановлении действия его отдельных положений"
Номер опубликования: 2501202206230002
Дата опубликования: 23.06.2022
Страница №42 из 98:
Увеличить