Официальное опубликование правовых актов
ОФИЦИАЛЬНОЕ ОПУБЛИКОВАНИЕ
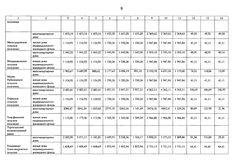
Постановление Правительства Приморского края от 01.04.2022 № 193-пп
"О региональных стандартах стоимости жилищно-коммунальных услуг на 2022 год"
Номер опубликования: 2501202204040012
Дата опубликования: 04.04.2022
Страница №20 из 45:
Увеличить