Официальное опубликование правовых актов
ОФИЦИАЛЬНОЕ ОПУБЛИКОВАНИЕ
Постановление Правительства Приморского края от 28.02.2022 № 107-пп
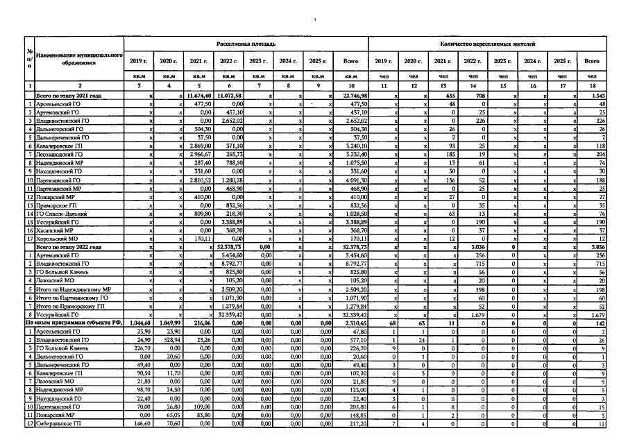
"О внесении изменений в постановление Администрации Приморского края от 9 апреля 2019 года № 217-па "Об утверждении региональной адресной программы "Переселение граждан из аварийного жилищного фонда в Приморском крае" на 2019-2025 годы"
Номер опубликования: 2501202203020002
Дата опубликования: 02.03.2022
Страница №30 из 39:
Увеличить