Официальное опубликование правовых актов
ОФИЦИАЛЬНОЕ ОПУБЛИКОВАНИЕ
Постановление Министерства имущественных и земельных отношений Приморского края от 28.01.2022 № 1-п
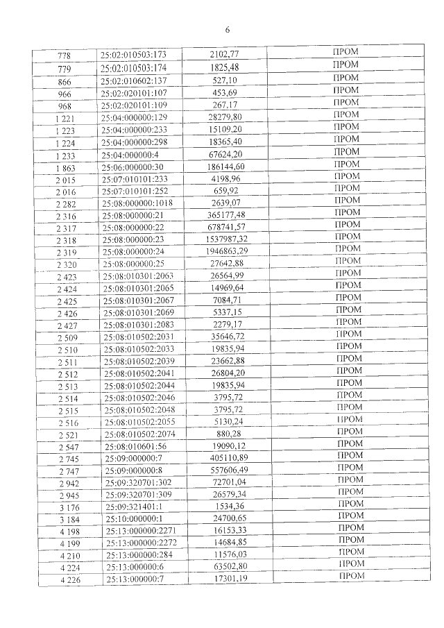
"О внесении изменений в постановление министерства имущественных и земельных отношений Приморского края от 1 октября 2021 года № 61-п "Об утверждении результатов определения кадастровой стоимости объектов недвижимости, расположенных на территории Приморского края"
Номер опубликования: 2501202202020018
Дата опубликования: 02.02.2022
Страница №6 из 12:
Увеличить