Официальное опубликование правовых актов
ОФИЦИАЛЬНОЕ ОПУБЛИКОВАНИЕ
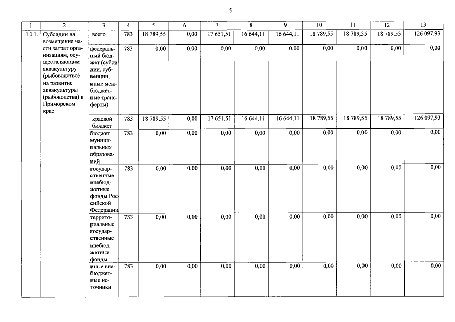
Постановление Правительства Приморского края от 21.01.2022 № 26-пп
"О внесении изменений в постановление Администрации Приморского края от 27 декабря 2019 года № 921-па "Об утверждении государственной программы Приморского края "Развитие рыбохозяйственного комплекса в Приморском крае на 2020 - 2027 годы"
Номер опубликования: 2501202201240006
Дата опубликования: 24.01.2022
Страница №22 из 43:
Увеличить