Официальное опубликование правовых актов
ОФИЦИАЛЬНОЕ ОПУБЛИКОВАНИЕ
Постановление Министерства имущественных и земельных отношений Приморского края от 28.12.2021 № 86-п
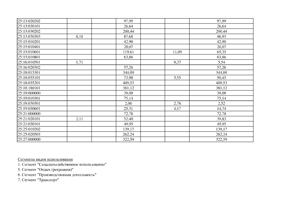
"Об утверждении среднего уровня кадастровой стоимости земельных участков в составе земель особо охраняемых территорий и объектов, земель промышленности, энергетики, транспорта, связи, радиовещания, телевидения, информатики, для обеспечения космической деятельности, обороны, безопасности и иного специального назначения по муниципальным образованиям Приморского края"
Номер опубликования: 2501202112290001
Дата опубликования: 29.12.2021
Страница №34 из 35:
Увеличить