Официальное опубликование правовых актов
ОФИЦИАЛЬНОЕ ОПУБЛИКОВАНИЕ
Постановление Агентства по тарифам Приморского края от 09.12.2021 № 54/3
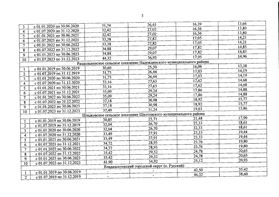
"О внесении изменений в постановление департамента по тарифам Приморского края от 20 декабря 2018 года № 70/1 "Об утверждении производственных программ и об установлении долгосрочных параметров регулирования и тарифов на питьевую воду и водоотведение для потребителей краевого государственного унитарного предприятия "Приморский водоканал", находящихся на территориях муниципальных образований Приморского края"
Номер опубликования: 2501202112150010
Дата опубликования: 15.12.2021
Страница №121 из 124:
Увеличить