Официальное опубликование правовых актов
ОФИЦИАЛЬНОЕ ОПУБЛИКОВАНИЕ
Постановление Правительства Приморского края от 10.12.2021 № 793-пп
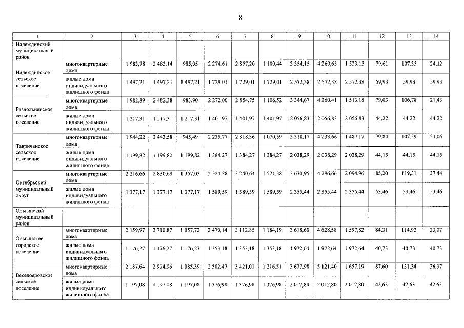
"О внесении изменений в постановление Правительства Приморского края от 18 июня 2021года № 383-пп "О региональных стандартах стоимости жилищно-коммунальных услуг на 2021 год"
Номер опубликования: 2501202112140007
Дата опубликования: 14.12.2021
Страница №36 из 45:
Увеличить