Официальное опубликование правовых актов
ОФИЦИАЛЬНОЕ ОПУБЛИКОВАНИЕ
Постановление Агентства по тарифам Приморского края от 18.11.2021 № 48/1
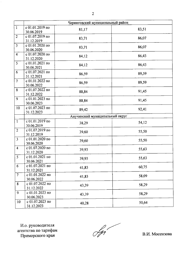
"О внесении изменений в постановление департамента по тарифам Приморского края от 25 октября 2018 года № 54/8 "Об утверждении производственных программ и об установлении долгосрочных параметров регулирования и тарифов на питьевую воду и водоотведение для потребителей общества с ограниченной ответственностью "Транснефть – Дальний Восток", находящихся на территориях муниципальных образований Приморского края"
Номер опубликования: 2501202111230019
Дата опубликования: 23.11.2021
Страница №43 из 43:
Увеличить