Официальное опубликование правовых актов
ОФИЦИАЛЬНОЕ ОПУБЛИКОВАНИЕ
Постановление Агентства по тарифам Приморского края от 28.10.2021 № 42/4
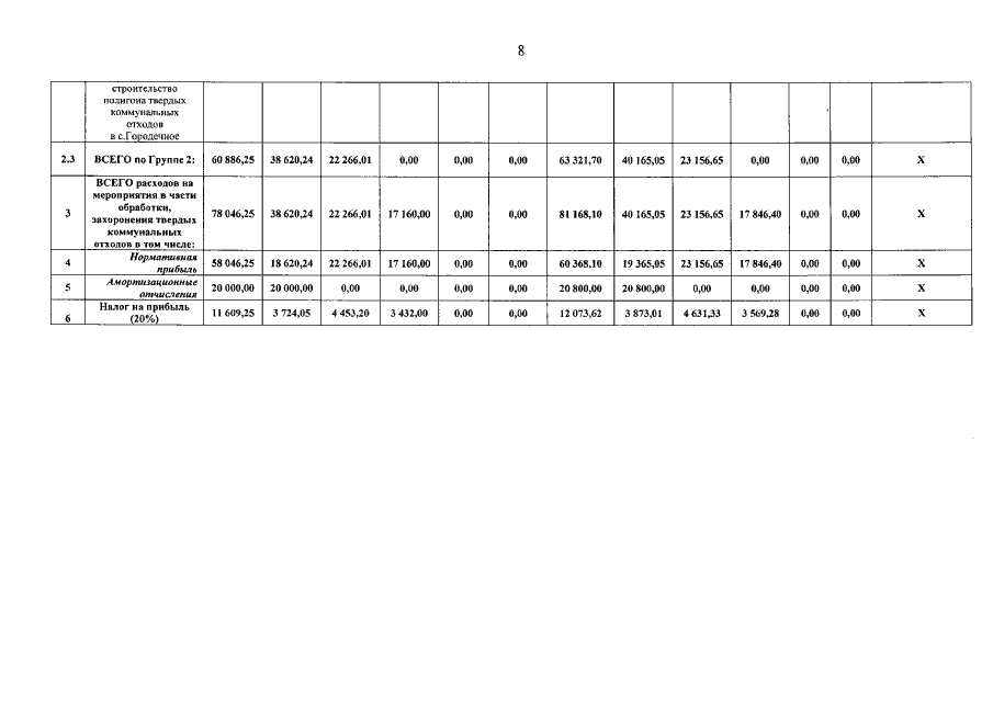
"Об утверждении инвестиционной программы в области обращения с твердыми коммунальными отходами краевого государственного унитарного предприятия "Приморский экологический оператор", осуществляющего деятельность на территории Владивостокского городского округа Приморского края на 2022 – 2026 годы"
Номер опубликования: 2501202111010005
Дата опубликования: 01.11.2021
Страница №10 из 12:
Увеличить