Официальное опубликование правовых актов
ОФИЦИАЛЬНОЕ ОПУБЛИКОВАНИЕ
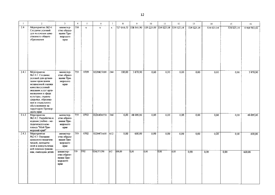
Постановление Правительства Приморского края от 27.10.2021 № 694-пп
"О внесении изменений в постановление Администрации Приморского края от 16 декабря 2019 года № 848-па "Об утверждении государственной программы Приморского края "Развитие образования Приморского края" на 2020 - 2027 годы"
Номер опубликования: 2501202110290003
Дата опубликования: 29.10.2021
Страница №17 из 138:
Увеличить