Официальное опубликование правовых актов
ОФИЦИАЛЬНОЕ ОПУБЛИКОВАНИЕ
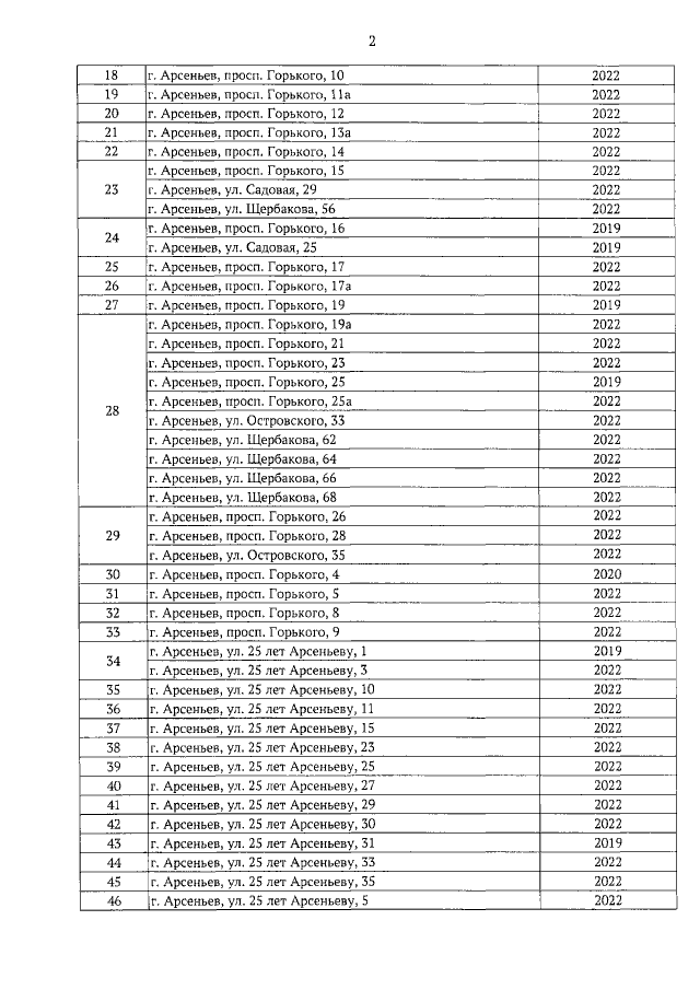
Постановление Правительства Приморского края от 27.10.2021 № 697-пп
"О внесении изменений в постановление Администрации Приморского края от 30 декабря 2019 года № 944-па "Об утверждении государственной программы Приморского края "Формирование современной городской среды муниципальных образований Приморского края" на 2020 – 2027 годы"
Номер опубликования: 2501202110290002
Дата опубликования: 29.10.2021
Страница №4 из 269:
Увеличить