Официальное опубликование правовых актов
ОФИЦИАЛЬНОЕ ОПУБЛИКОВАНИЕ
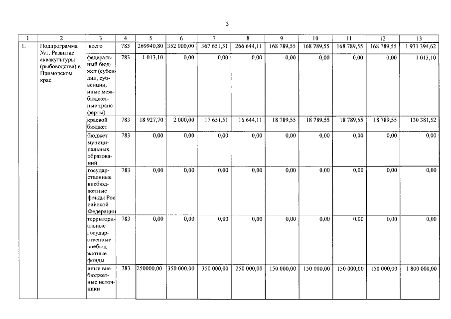
Постановление Правительства Приморского края от 12.10.2021 № 665-пп
"О внесении изменений в постановление Администрации Приморского края от 27 декабря 2019 года № 921-па "Об утверждении государственной программы Приморского края "Развитие рыбохозяйственного комплекса в Приморском крае на 2020 - 2027 годы"
Номер опубликования: 2501202110130002
Дата опубликования: 13.10.2021
Страница №18 из 42:
Увеличить