Официальное опубликование правовых актов
ОФИЦИАЛЬНОЕ ОПУБЛИКОВАНИЕ
Постановление Правительства Приморского края от 08.10.2021 № 656-пп
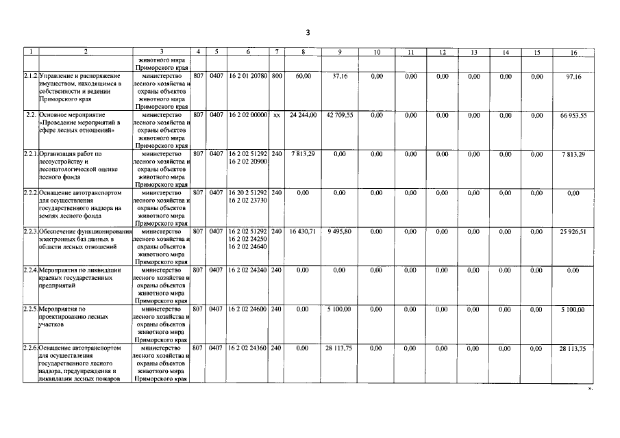
"О внесении изменений в постановление Администрации Приморского края от 27 августа 2019 года № 558-па "Об утверждении государственной программы Приморского края "Развитие лесного хозяйства в Приморском крае" на 2020 - 2027 годы"
Номер опубликования: 2501202110110003
Дата опубликования: 11.10.2021
Страница №12 из 18:
Увеличить