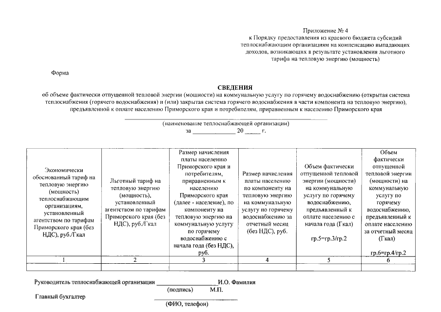
Постановление Правительства Приморского края от 08.10.2021 № 659-пп
"О внесении изменений в постановление Администрации Приморского края от 4 августа 2015 года № 268-па "О Порядке предоставления из краевого бюджета субсидий теплоснабжающим организациям на компенсацию выпадающих доходов, возникающих в результате установления льготного тарифа на тепловую энергию (мощность)"
"О внесении изменений в постановление Администрации Приморского края от 4 августа 2015 года № 268-па "О Порядке предоставления из краевого бюджета субсидий теплоснабжающим организациям на компенсацию выпадающих доходов, возникающих в результате установления льготного тарифа на тепловую энергию (мощность)"
Номер опубликования: 2501202110110002
Дата опубликования:
11.10.2021
