Официальное опубликование правовых актов
ОФИЦИАЛЬНОЕ ОПУБЛИКОВАНИЕ
Постановление Правительства Приморского края от 30.09.2021 № 647-пп
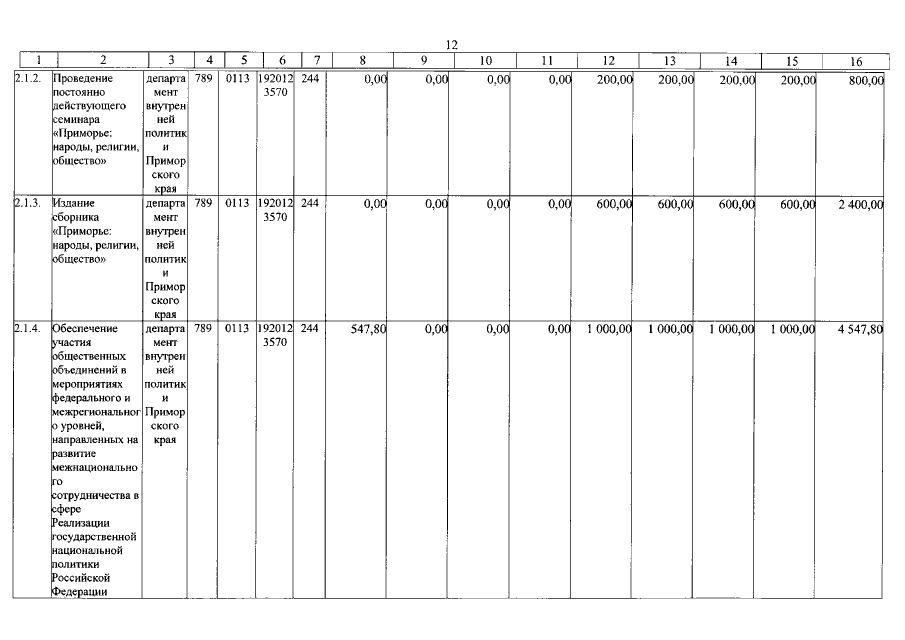
"О внесении изменений в постановление Администрации Приморского края от 30 августа 2019 года № 564-па "Об утверждении государственной программы Приморского края "Патриотическое воспитание граждан, реализация государственной национальной политики и развитие институтов гражданского общества на территории Приморского края" на 2020-2027 годы"
Номер опубликования: 2501202110040006
Дата опубликования: 04.10.2021
Страница №25 из 79:
Увеличить