Официальное опубликование правовых актов
ОФИЦИАЛЬНОЕ ОПУБЛИКОВАНИЕ
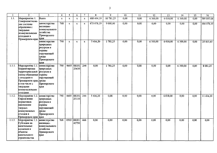
Постановление Правительства Приморского края от 24.09.2021 № 637-пп
"О внесении изменений в постановление Администрации Приморского края от 27 декабря 2019 года № 940-па "Об утверждении государственной программы Приморского края "Охрана окружающей среды Приморского края" на 2020 - 2027 годы"
Номер опубликования: 2501202109290007
Дата опубликования: 29.09.2021
Страница №13 из 75:
Увеличить