Официальное опубликование правовых актов
ОФИЦИАЛЬНОЕ ОПУБЛИКОВАНИЕ
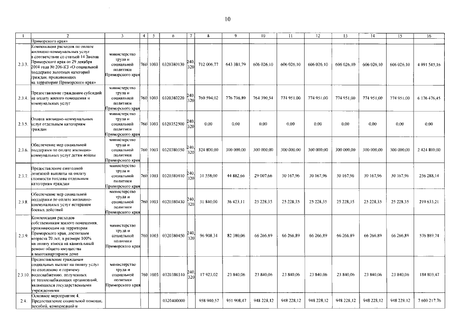
Постановление Правительства Приморского края от 17.09.2021 № 617-пп
"О внесении изменений в постановление Администрации Приморского края от 27 декабря 2019 года № 918-па "Об утверждении государственной программы Приморского края "Социальная поддержка населения Приморского края на 2020 - 2027 годы"
Номер опубликования: 2501202109210001
Дата опубликования: 21.09.2021
Страница №57 из 172:
Увеличить