Официальное опубликование правовых актов
ОФИЦИАЛЬНОЕ ОПУБЛИКОВАНИЕ
Постановление Правительства Приморского края от 15.09.2021 № 610-пп
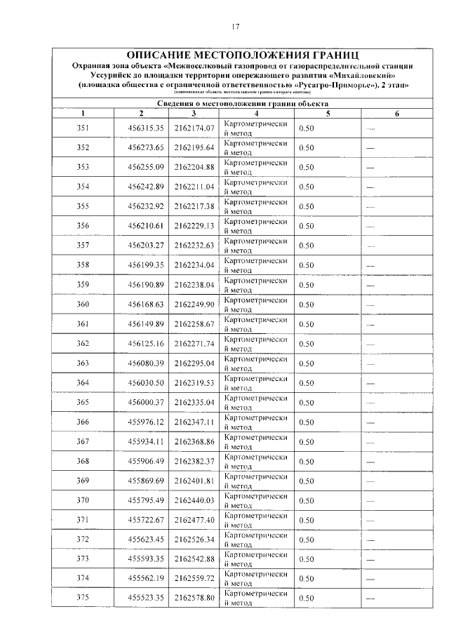
"О внесении изменений в постановление Администрации Приморского края от 11 декабря 2019 года № 840-па "Об утверждении границ охранных зон газораспределительной сети и наложении ограничений (обременений) на входящие в них земельные участки на территории Артемовского городского округа и Михайловского муниципального района"
Номер опубликования: 2501202109200002
Дата опубликования: 20.09.2021
Страница №18 из 58:
Увеличить