Официальное опубликование правовых актов
ОФИЦИАЛЬНОЕ ОПУБЛИКОВАНИЕ
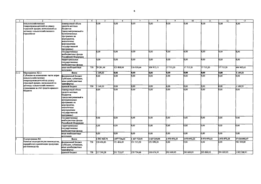
Постановление Правительства Приморского края от 31.08.2021 № 574-пп
"О внесении изменений в постановление Администрации Приморского края от 27 декабря 2019 года № 933-па "Об утверждении государственной программы Приморского края "Развитие сельского хозяйства и регулирование рынков сельскохозяйственной продукции, сырья и продовольствия" на 2020 - 2027 годы"
Номер опубликования: 2501202109010001
Дата опубликования: 01.09.2021
Страница №34 из 72:
Увеличить