Официальное опубликование правовых актов
ОФИЦИАЛЬНОЕ ОПУБЛИКОВАНИЕ
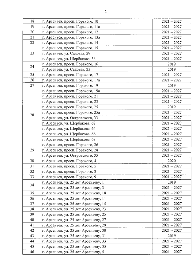
Постановление Правительства Приморского края от 20.08.2021 № 554-пп
"О внесении изменений в постановление Администрации Приморского края от 30 декабря 2019 года № 944-па "Об утверждении государственной программы Приморского края "Формирование современной городской среды муниципальных образований Приморского края" на 2020 – 2027 годы"
Номер опубликования: 2501202108250001
Дата опубликования: 25.08.2021
Страница №59 из 336:
Увеличить