Официальное опубликование правовых актов
ОФИЦИАЛЬНОЕ ОПУБЛИКОВАНИЕ
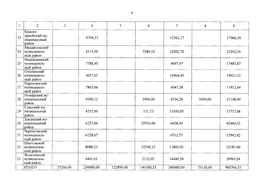
Постановление Правительства Приморского края от 03.08.2021 № 503-пп
"О внесении изменения в постановление Правительства Приморского края от 8 апреля 2021 года № 216-пп "Об утверждении распределения дотаций на поддержку мер по обеспечению сбалансированности местных бюджетов на 2021 год"
Номер опубликования: 2501202108040014
Дата опубликования: 04.08.2021
Страница №5 из 5:
Увеличить