Официальное опубликование правовых актов
ОФИЦИАЛЬНОЕ ОПУБЛИКОВАНИЕ
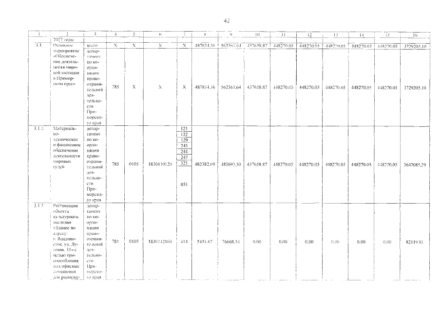
Постановление Правительства Приморского края от 26.07.2021 № 479-пп
"О внесении изменений в постановление Администрации Приморского края от 25 декабря 2019 года № 904-па "Об утверждении государственной программы Приморского края "Безопасный край" на 2020-2027 годы"
Номер опубликования: 2501202107270008
Дата опубликования: 27.07.2021
Страница №45 из 86:
Увеличить