Официальное опубликование правовых актов
ОФИЦИАЛЬНОЕ ОПУБЛИКОВАНИЕ
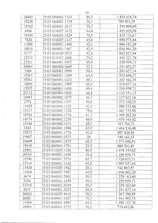
Постановление Министерства имущественных и земельных отношений Приморского края от 15.07.2021 № 35-п
"О внесении изменений в постановление департамента земельных и имущественных отношений Приморского края от 21 октября 2019 года № 6-п "Об утверждении результатов определения кадастровой стоимости объектов капитального строительства (зданий, сооружений, объектов незавершенного строительства, помещений, машино-мест, единых недвижимых комплексов), земельных участков в составе земель лесного фонда, расположенных на территории Приморского края"
Номер опубликования: 2501202107210006
Дата опубликования: 21.07.2021
Страница №10 из 15:
Увеличить