Официальное опубликование правовых актов
ОФИЦИАЛЬНОЕ ОПУБЛИКОВАНИЕ
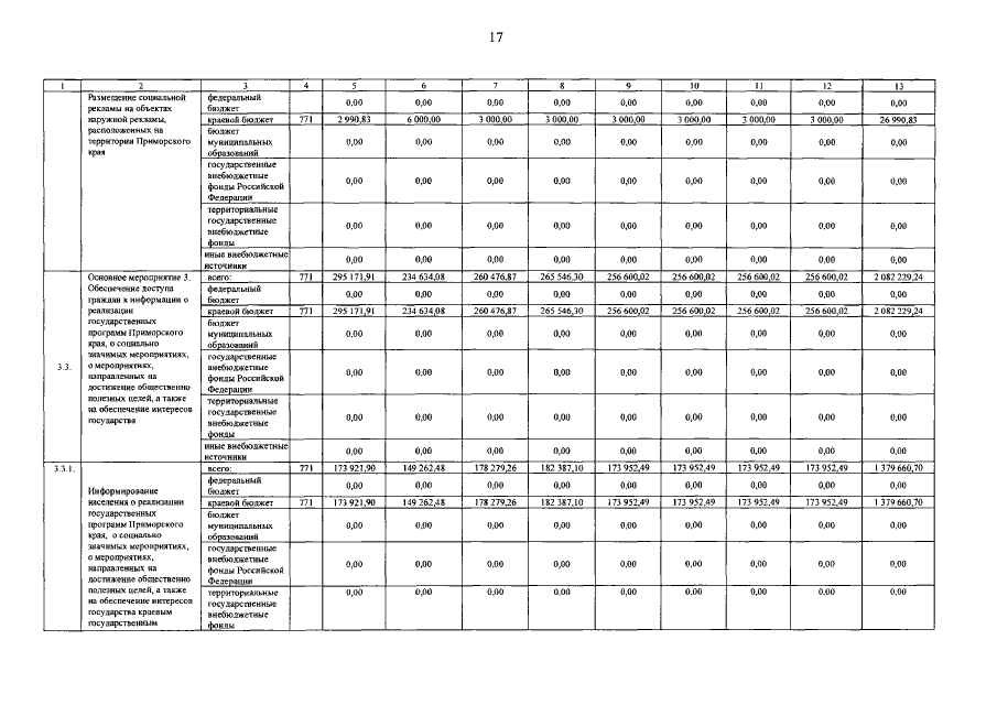
Постановление Правительства Приморского края от 13.07.2021 № 438-пп
"О внесении изменений в постановление Администрации Приморского края от 2 июля 2019 года № 418-па "Об утверждении государственной программы Приморского края "Информационное общество" на 2020 - 2027 годы"
Номер опубликования: 2501202107140001
Дата опубликования: 14.07.2021
Страница №29 из 34:
Увеличить