Официальное опубликование правовых актов
ОФИЦИАЛЬНОЕ ОПУБЛИКОВАНИЕ
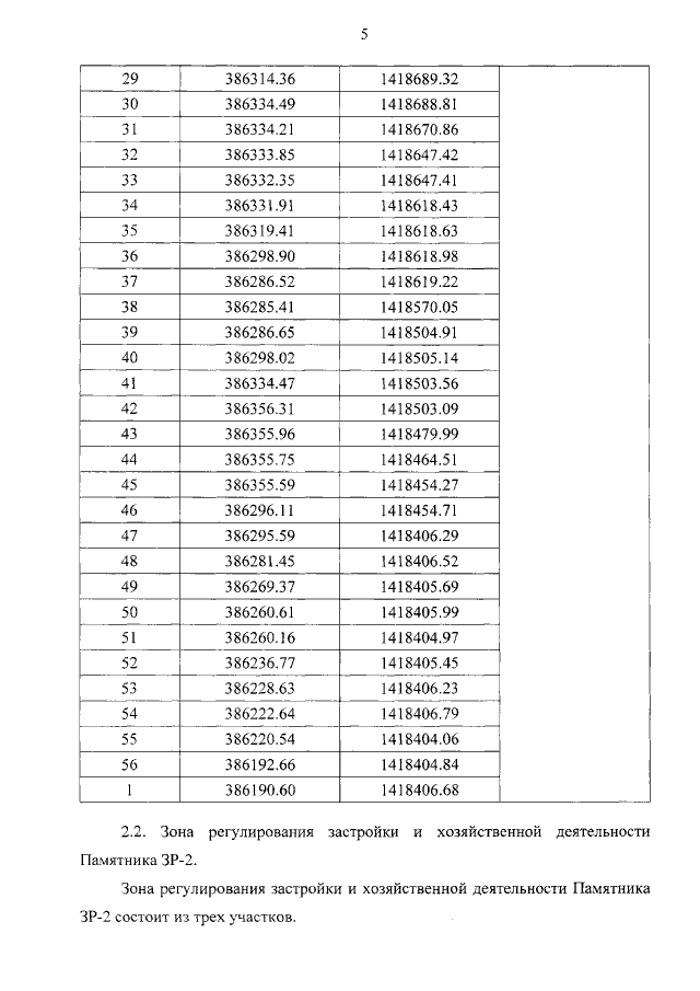
Постановление Правительства Приморского края от 05.07.2021 № 422-пп
"Об установлении зон охраны объекта культурного наследия (памятника истории и культуры) народов Российской Федерации регионального значения "Дворец культуры угольщиков", 1948 – 1956 годы, утверждении требований к градостроительным регламентам в границах территорий данных зон"
Номер опубликования: 2501202107060003
Дата опубликования: 06.07.2021
Страница №7 из 23:
Увеличить