Официальное опубликование правовых актов
ОФИЦИАЛЬНОЕ ОПУБЛИКОВАНИЕ
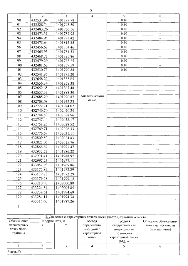
Постановление Правительства Приморского края от 30.06.2021 № 406-пп
"Об утверждении границ охранной зоны газораспределительной сети и наложении ограничений (обременений) на входящие в нее земельные участки на территории Уссурийского городского округа"
Номер опубликования: 2501202107010004
Дата опубликования: 01.07.2021
Страница №6 из 14:
Увеличить