Официальное опубликование правовых актов
ОФИЦИАЛЬНОЕ ОПУБЛИКОВАНИЕ
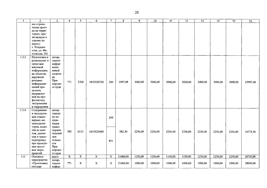
Постановление Правительства Приморского края от 22.06.2021 № 384-пп
"О внесении изменений в постановление Администрации Приморского края от 25 декабря 2019 года № 904-па "Об утверждении государственной программы Приморского края "Безопасный край" на 2020-2027 годы"
Номер опубликования: 2501202106230005
Дата опубликования: 23.06.2021
Страница №25 из 88:
Увеличить