Официальное опубликование правовых актов
ОФИЦИАЛЬНОЕ ОПУБЛИКОВАНИЕ
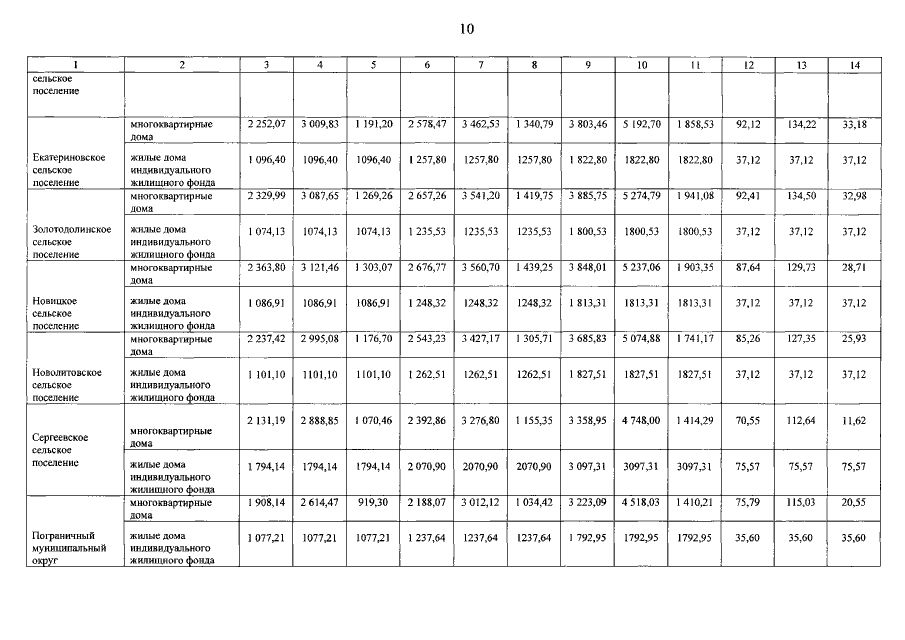
Постановление Правительства Приморского края от 18.06.2021 № 383-пп
"О региональных стандартах стоимости жилищно-коммунальных услуг на 2021 год"
Номер опубликования: 2501202106210013
Дата опубликования: 21.06.2021
Страница №39 из 47:
Увеличить