Официальное опубликование правовых актов
ОФИЦИАЛЬНОЕ ОПУБЛИКОВАНИЕ
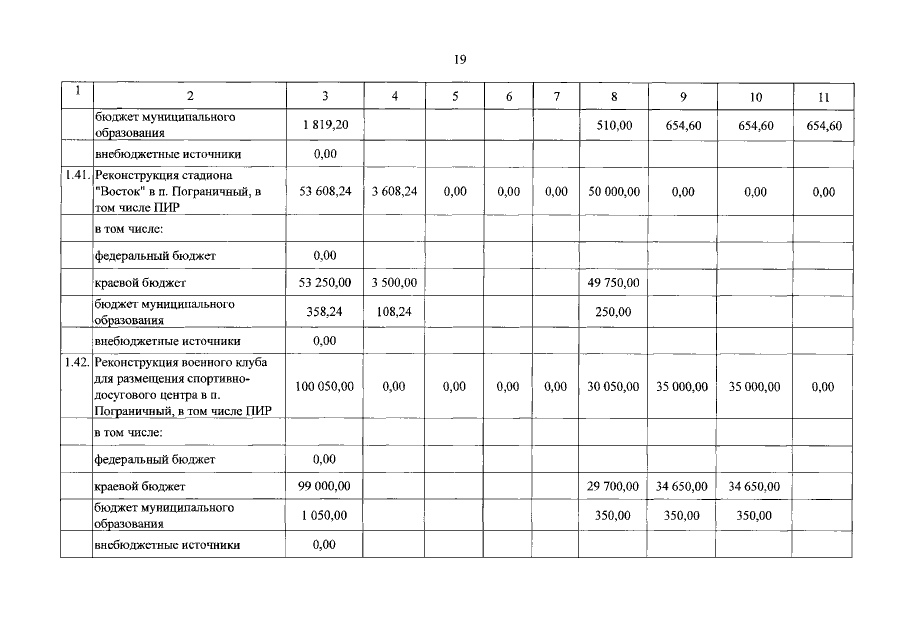
Постановление Правительства Приморского края от 15.06.2021 № 375-пп
"О внесении изменений в постановление Администрации Приморского края от 27 декабря 2019 года № 920-па "Об утверждении государственной программы Приморского края "Развитие физической культуры и спорта Приморского края" на 2020-2027 годы"
Номер опубликования: 2501202106160003
Дата опубликования: 16.06.2021
Страница №121 из 158:
Увеличить