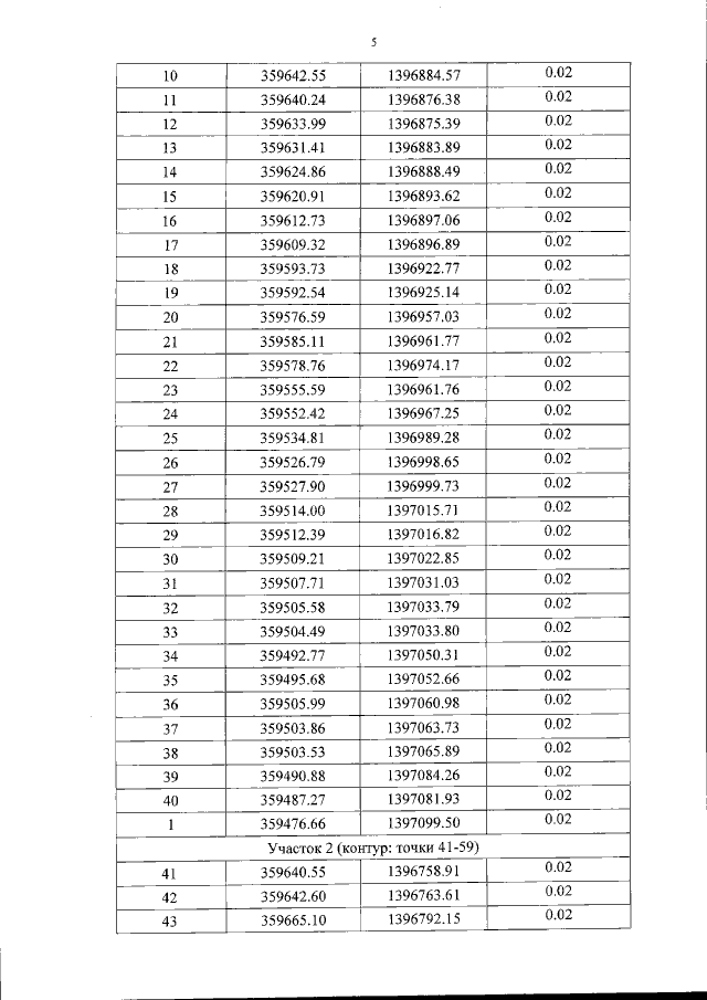
Приказ Инспекции по охране объектов культурного наследия Приморского края от 27.05.2021 № 242
"Об утверждении границ территории объекта культурного наследия (памятника истории и культуры) народов Российской Федерации регионального значения "Ансамбль жилых домов Сибирского флотского экипажа (Офицерские флигеля)", 1903–1910 гг., расположенного по адресу (местонахождение): Приморский край, г. Владивосток, ул. Светланская, д. 66,74,76,78,80,80а"
"Об утверждении границ территории объекта культурного наследия (памятника истории и культуры) народов Российской Федерации регионального значения "Ансамбль жилых домов Сибирского флотского экипажа (Офицерские флигеля)", 1903–1910 гг., расположенного по адресу (местонахождение): Приморский край, г. Владивосток, ул. Светланская, д. 66,74,76,78,80,80а"
Номер опубликования: 2501202106010010
Дата опубликования:
01.06.2021
