Официальное опубликование правовых актов
ОФИЦИАЛЬНОЕ ОПУБЛИКОВАНИЕ
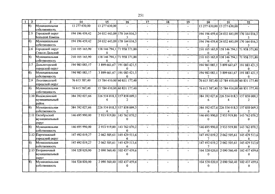
Постановление Правительства Приморского края от 23.04.2021 № 261-пп
"О внесении изменений в постановление Правительства Приморского края от 28 декабря 2020 года № 1083-пп "Об утверждении адресной инвестиционной программы Приморского края на 2021 год и плановый период 2022 и 2023 годов"
Номер опубликования: 2501202104280007
Дата опубликования: 28.04.2021
Страница №252 из 276:
Увеличить