Официальное опубликование правовых актов
ОФИЦИАЛЬНОЕ ОПУБЛИКОВАНИЕ
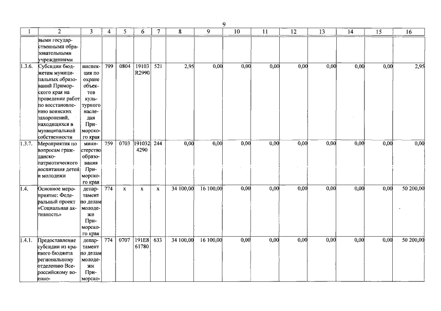
Постановление Правительства Приморского края от 15.04.2021 № 237-пп
"О внесении изменений в постановление Администрации Приморского края от 30 августа 2019 года № 564-па "Об утверждении государственной программы Приморского края "Патриотическое воспитание граждан, реализация государственной национальной политики и развитие институтов гражданского общества на территории Приморского края" на 2020-2027 годы"
Номер опубликования: 2501202104190003
Дата опубликования: 19.04.2021
Страница №56 из 108:
Увеличить