Официальное опубликование правовых актов
ОФИЦИАЛЬНОЕ ОПУБЛИКОВАНИЕ
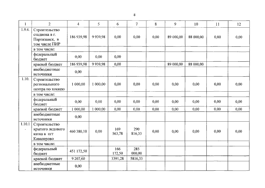
Постановление Правительства Приморского края от 01.04.2021 № 202-пп
"О внесении изменений в постановление Администрации Приморского края от 27 декабря 2019 года № 920-па "Об утверждении государственной программы Приморского края "Развитие физической культуры и спорта Приморского края" на 2020-2027 годы"
Номер опубликования: 2501202104050003
Дата опубликования: 05.04.2021
Страница №199 из 204:
Увеличить