Официальное опубликование правовых актов
ОФИЦИАЛЬНОЕ ОПУБЛИКОВАНИЕ
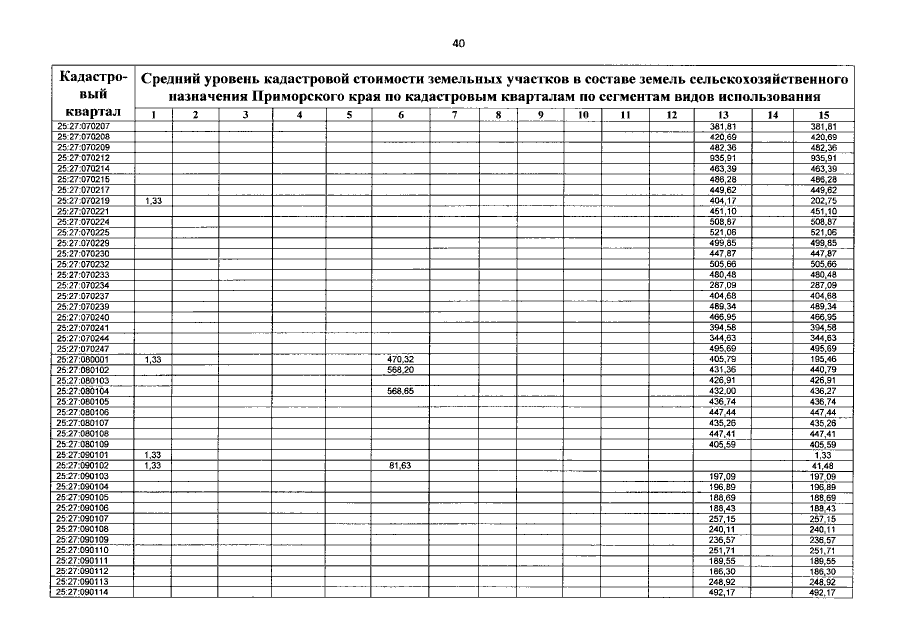
Постановление Правительства Приморского края от 19.02.2021 № 64-пп
"Об утверждении среднего уровня кадастровой стоимости земель населенных пунктов и земель сельскохозяйственного назначения по муниципальному району (муниципальному округу, городскому округу) Приморского края"
Номер опубликования: 2501202102190009
Дата опубликования: 19.02.2021
Страница №105 из 109:
Увеличить