Официальное опубликование правовых актов
ОФИЦИАЛЬНОЕ ОПУБЛИКОВАНИЕ
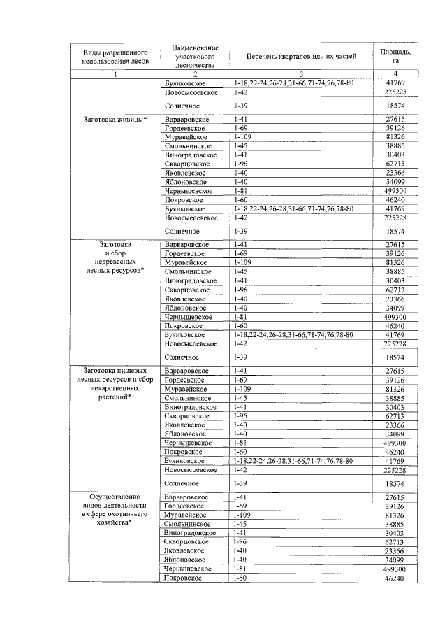
Приказ Министерства лесного хозяйства и охраны объектов животного мира Приморского края от 11.02.2021 № 142
"О внесении изменений в лесохозяйственный регламент Арсеньевского лесничества, утвержденный приказом департамента лесного хозяйства Приморского края от 30.11.2018 № 1562 "Об утверждении лесохозяйственных регламентов лесничеств Приморского края"
Номер опубликования: 2501202102160011
Дата опубликования: 16.02.2021
Страница №51 из 55:
Увеличить