Официальное опубликование правовых актов
ОФИЦИАЛЬНОЕ ОПУБЛИКОВАНИЕ
Постановление Агентства по тарифам Приморского края от 25.12.2020 № 69/10
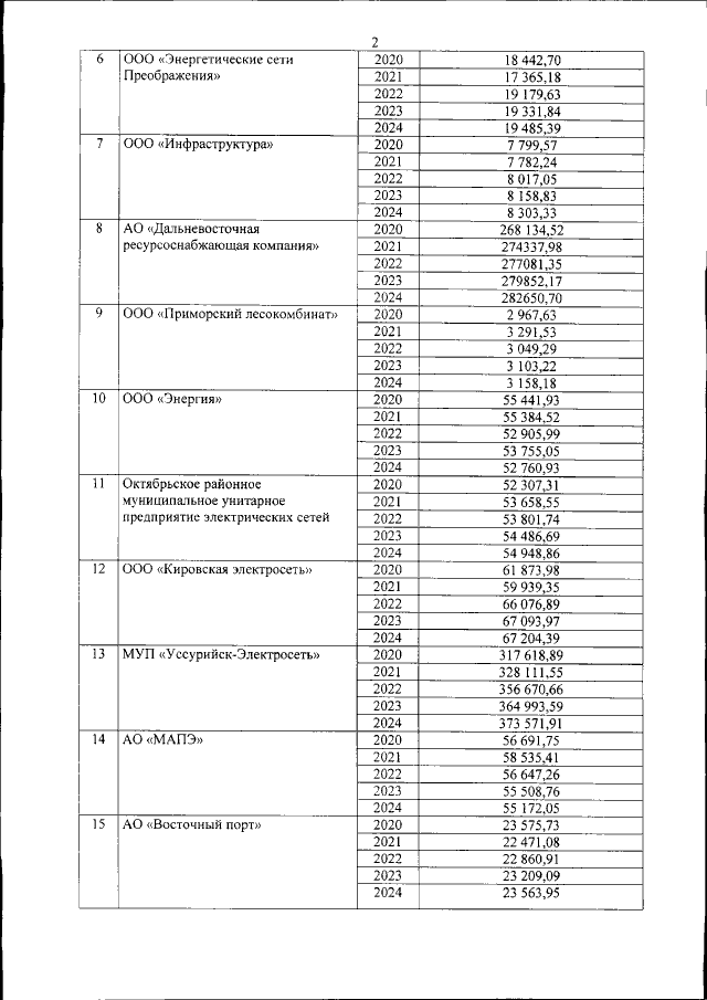
"О внесение изменений в постановление департамента по тарифам Приморского края от 26 декабря 2019 года № 67/9 "Об установлении долгосрочных параметров регулирования деятельности территориальных сетевых организаций Приморского края на период с 2020 по 2024 годы"
Номер опубликования: 2501202012290023
Дата опубликования: 29.12.2020
Страница №3 из 4:
Увеличить