Официальное опубликование правовых актов
ОФИЦИАЛЬНОЕ ОПУБЛИКОВАНИЕ
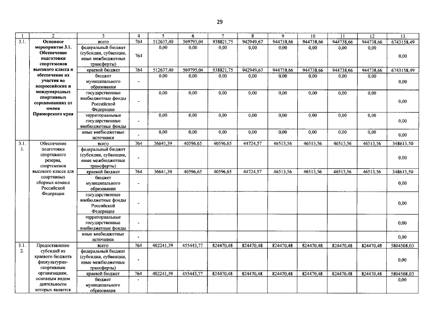
Постановление Правительства Приморского края от 26.12.2020 № 1076-пп
"О внесении изменений в постановление Администрации Приморского края от 27 декабря 2019 года № 920-па "Об утверждении государственной программы Приморского края "Развитие физической культуры и спорта Приморского края" на 2020-2027 годы"
Номер опубликования: 2501202012290003
Дата опубликования: 29.12.2020
Страница №63 из 73:
Увеличить