Официальное опубликование правовых актов
ОФИЦИАЛЬНОЕ ОПУБЛИКОВАНИЕ
Постановление Министерства имущественных и земельных отношений Приморского края от 21.12.2020 № 105-п
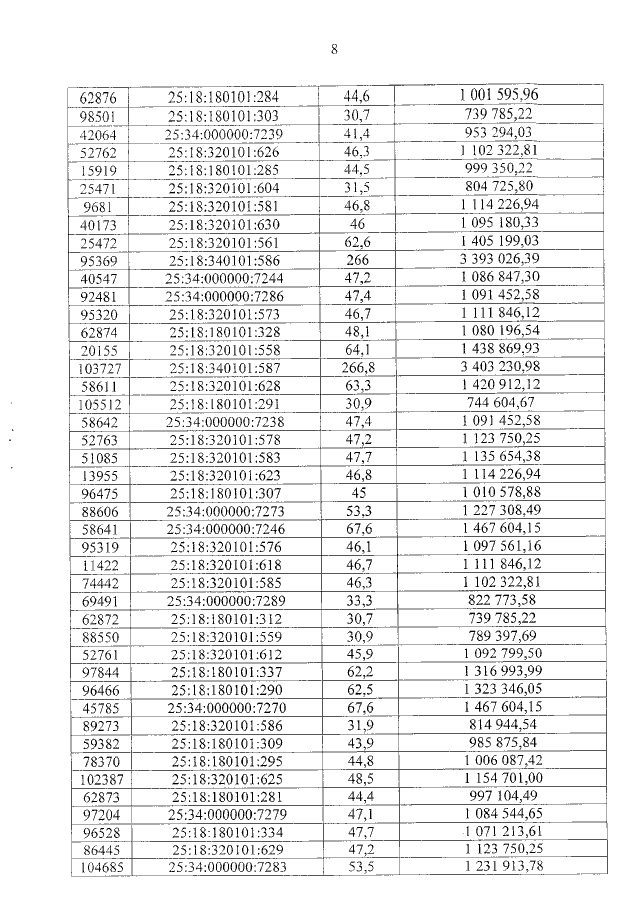
"О внесении изменений в постановление департамента земельных и имущественных отношений Приморского края от 21 октября 2019 года № 6-п "Об утверждении результатов определения кадастровой стоимости объектов капитального строительства (зданий, сооружений, объектов незавершенного строительства, помещений, машино-мест, единых недвижимых комплексов), земельных участков в составе земель лесного фонда, расположенных на территории Приморского края"
Номер опубликования: 2501202012240026
Дата опубликования: 24.12.2020
Страница №8 из 10:
Увеличить