Официальное опубликование правовых актов
ОФИЦИАЛЬНОЕ ОПУБЛИКОВАНИЕ
Постановление Агентства по тарифам Приморского края от 17.12.2020 № 65/17
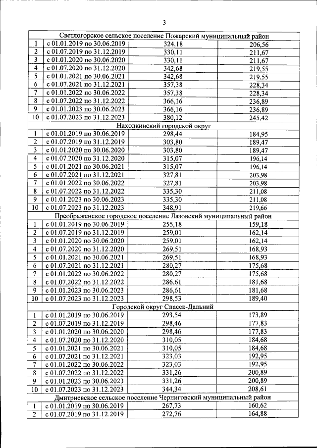
"О внесении изменений в постановление департамента по тарифам Приморского края от 20 декабря 2018 года № 70/7 "Об утверждении производственных программ и об установлении долгосрочных параметров регулирования и тарифов на горячую воду (закрытая система) для потребителей краевого государственного унитарного предприятия "Примтеплоэнерго", находящихся на территории Приморского края"
Номер опубликования: 2501202012240007
Дата опубликования: 24.12.2020
Страница №65 из 66:
Увеличить