Официальное опубликование правовых актов
ОФИЦИАЛЬНОЕ ОПУБЛИКОВАНИЕ
Постановление Агентства по тарифам Приморского края от 16.12.2020 № 64/6
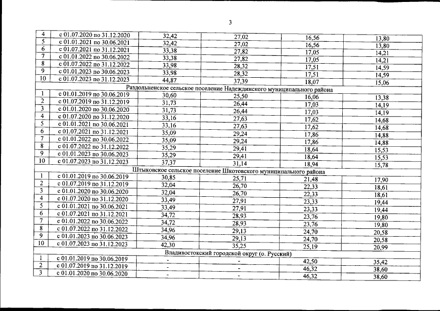
"О внесении изменений в постановление департамента по тарифам Приморского края от 20 декабря 2018 года № 70/1 "Об утверждении производственных программ и об установлении долгосрочных параметров регулирования и тарифов на питьевую воду и водоотведение для потребителей краевого государственного унитарного предприятия "Приморский водоканал", находящихся на территориях муниципальных образований Приморского края"
Номер опубликования: 2501202012220006
Дата опубликования: 22.12.2020
Страница №125 из 128:
Увеличить