Официальное опубликование правовых актов
ОФИЦИАЛЬНОЕ ОПУБЛИКОВАНИЕ
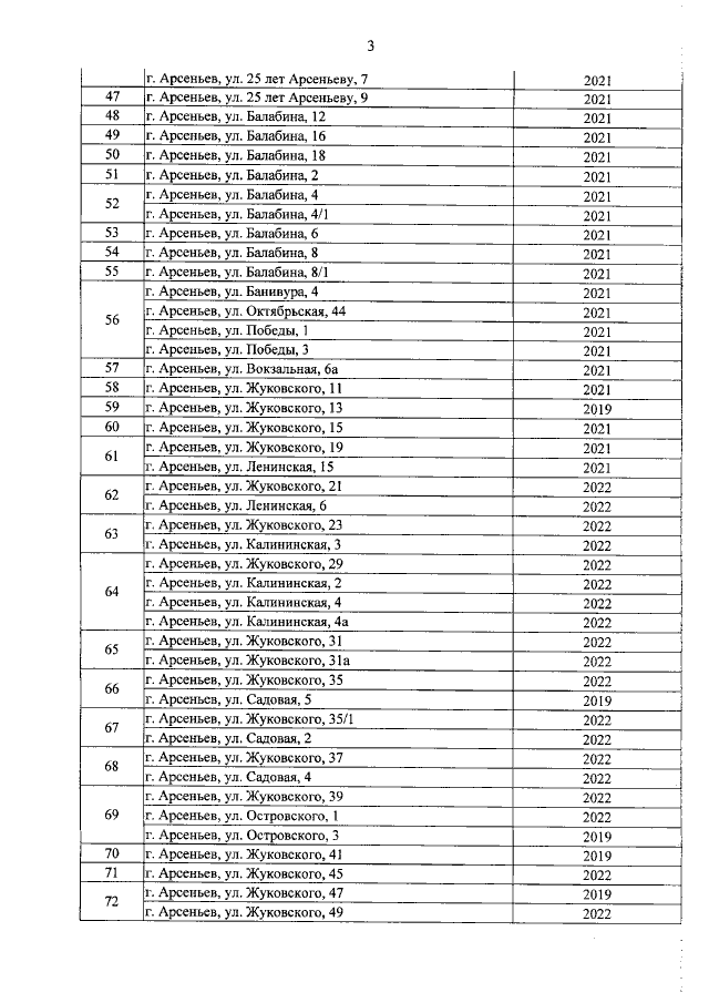
Постановление Правительства Приморского края от 16.12.2020 № 1038-пп
"О внесении изменений в постановление Администрации Приморского края от 30 декабря 2019 года № 944-па "Об утверждении государственной программы Приморского края "Формирование современной городской среды муниципальных образований Приморского края" на 2020 – 2027 годы"
Номер опубликования: 2501202012180001
Дата опубликования: 18.12.2020
Страница №9 из 274:
Увеличить